產品
Products
綜述
晶閘管廠家傳承電子講解晶閘管模塊(VT)又被稱為可控硅(SCR)模塊。它是一類功率大的的半導體開關元器件,其品種許多,有通用型、雙向型、可關斷型、快速型和光控型等。通用型晶閘管模塊。它的外型有螺栓式、金屬殼封裝和塑封式等多種。
它們都是3個電極,即陽極A、陰極K和控制極G。螺栓式晶閘管模塊的螺栓端為陽極,另一頭引線較粗的為陰極,細的為控制極G。用時把陽極扭緊在散熱器上,通常在中小功率線路中使用這種構造散熱。壓模塑料封裝式晶閘管模塊的陰極、陽極和控制極按順序排列。用時將螺釘穿過管子的散熱片(陽極)小孔與外加散熱器擰在一起,通常在小功率線路中使用這種構造散熱。以上散熱片均帶電,應留意與儀器設備柜絕緣。
它們都是3個電極,即陽極A、陰極K和控制極G。螺栓式晶閘管模塊的螺栓端為陽極,另一頭引線較粗的為陰極,細的為控制極G。用時把陽極扭緊在散熱器上,通常在中小功率線路中使用這種構造散熱。壓模塑料封裝式晶閘管模塊的陰極、陽極和控制極按順序排列。用時將螺釘穿過管子的散熱片(陽極)小孔與外加散熱器擰在一起,通常在小功率線路中使用這種構造散熱。以上散熱片均帶電,應留意與儀器設備柜絕緣。
可控硅晶閘管模塊 子類別
折疊所有子類別展開所有子類別亮點
如何分辨晶閘管模塊的3個極
分辨晶閘管模塊3個極的方式非常簡單,依據P-N結的工作原理,只需用萬用表測量一下3個極間的電阻值就可以。陽極與陰極間的正向和反方向電阻值在幾百千歐之上,陽極和控制極間的正向和反方向電阻值在幾百千歐之上(它們間有兩個P-N結,并且方向相反,所以陽極和控制極正反向都不通)。
控制極與陰極間是一個P-N結,所以它的正向電阻值大概在幾歐-幾百歐的區域,反方向電阻值比正向電阻值要大。
但是控制極二極管特性是不太理想的,反方向并非完全呈阻斷狀況的,可以有比較大的電流通過,所以,有時測出控制極反方向電阻值比較小,并不能說明控制極特性不好。此外,在檢測控制極正反向電阻值時,數字萬用表應放于R*10或R*1擋,避免電壓過高控制極反方向擊穿。
若測出元件陰陽極正反向已短路,或陽極與控制極短路,或控制極與陰極反方向短路,或控制極與陰極斷路,說明元件已損壞。
詳情
晶閘管模塊是PNPN四層三端元器件,共有3個PN結。解析原理時,可以把它當作是由1個PNP管和1個NPN管所組成,其等效電路圖解如圖1(a)所示,圖1(b)為可控硅模塊的電路符號。
晶閘管模塊的工作原理是四層三端元器件,它有J1、J2、J33個PN結,可以把它中間的NP劃分兩部分,組成1個PNP型三極管和1個NPN型三極管的復合管。
(1)當晶閘管模塊承擔正向陽極工作電壓時,為使可控硅模塊導通,必須使承擔反向工作電壓的PN結J2失去阻擋作用。每一個晶體管的集電極電流同時便是另1個晶體管的基極電流。所以是2個互相復合的晶體管線路,當有足夠的門極電流Ig流入時,便會產生明顯的正反饋,引發兩晶體管飽和導通。
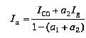
設PNP管和NPN管的集電極電流主要為IC1和IC2,發射極電流相對為Ia和Ik,電流放大系數相對為α1=IC1/Ia和α2=IC2/Ik,設流過J2結的反相漏電流為ICO,晶閘管模塊的陽極電流相當于兩管的集電極電流和漏電流的之和:
Ia=IC1+IC2+ICO=α1Ia+α2Ik+ICO(1)
若門極電流為Ig,則晶閘管模塊陰極電流為:Ik=Ia+Ig。
所以,可以得出晶閘管模塊陽極電流為:
(2)硅PNP管和硅NPN管相對的電流量放大系數α1和α2隨其發射極電流量的改變而急劇改變。當晶閘管模塊承擔正向陽極電壓,而門極未接受電壓的情況下,式(1)中Ig=0,(α1+α2)很小,故晶閘管模塊的陽極電流量Ia≈ICO,晶閘管處在正向阻斷模式;當晶閘管在正向門極電壓下,從門極G流入電流量Ig,因為足夠大的Ig流經NPN管的發射結,從而提升放大系數α2,產生足夠大的集電極電流量IC2流過PNP管的發射結,并提升了PNP管的電流量放大系數α1,產生更大的集電極電流量IC1流經NPN管的發射結,這種強烈的正反饋過程快速進行。
當α1和α2隨發射極電流量提升而導致(α1+α2)≈1時,式(1)中的分母1-(α1+α2)≈0,因此提升了可控硅模塊的陽極電流量Ia。這時,流過可控硅模塊的電流量完全由主電路的電壓和回路電阻決定,可控硅模塊已處在正向導通模式??煽毓枘K導通后,式(1)中1-(α1+α2)≈0,即便 這時門極電流量Ig=0,可控硅模塊仍能維持原先的陽極電流量Ia而繼續導通,門極已失去作用。
在晶閘管導通后,要是不斷地降低電源電壓或增大回路電阻,使陽極電流量Ia降低到維持電流量IH之下時,因為α1和α2快速下降,可控硅模塊恢復到阻斷模式。
以上就是晶閘管工廠廠家傳承電子供應的可控硅晶閘管產品介紹,傳承電子是一家以電力電子為專業領域的功率半導體模塊工廠,為眾多的企業公司提供功率半導體模塊的定制、生產和加工,同時還給眾多公司提供來料代工或貼牌加工業務。主要產品為各種封裝形式的絕緣式和非絕緣式功率半導體模塊、各種標準和非標準的功率半導體模塊等。







